1 概述
当电力系统发生铁磁谐振时,经常导致电压互感器烧毁或发生爆炸,造成恶性事故。为此,传统的解决方法是在电压互感器开口三角绕组上串接灯泡或电阻进行衰减。这种方法,不能从根本上解决问题,而且其作用极不明显。后来,出现了一种模拟式消谐装置,由于它本身不具有智能,所以,不仅经常在弧光接地时误动作,而且只能消除某一特定频率的铁磁谐振,未能得到推广应用。
我公司研制的采用高性能16位单片微型计算机和智能化软件技术的JF-MGS微机电力谐振诊断消除装置,可进行铁磁谐振的诊断,还可区分出过电压、铁磁谐振、PT高压侧断线、PT低压侧断线、单相接地等故障类型;对于各种频率的铁磁谐振,能迅速消除并显示有关信息。对于过电压、铁磁谐振、单相接地和PT断线等,可报警,并记录和显示。本装置经电力、冶金、煤炭、石油、化工等大型企业现场运行证明,该装置性能优越,使用安全可靠。
2 特点
2.1 无需整定和调试,维护量小。
2.1 自动显示和记录过电压、铁磁谐振、单相接地、PT高压侧断线、PT低压侧断线发生的时间及相关参数(幅值及频率)。
2.1 可区分过电压、铁磁谐振、单相接地、PT高压侧断线、PT低压侧断线。
2.1 可提供综合报警信号,可自动显示或记录故障发生时刻及相关参数。
2.1 适用于配电网各种电压等级,各种特征谐振频率(1/3分频、1/2分频、工频、3倍频), 适用范围广。
2.1 诊断准确,消谐迅速、彻底。
2.1 可存储五重故障信息,并可追忆,进行显示。
2.1 带有RS-232或RS-485通讯功能,通讯规约为CDT规约。
2.1 带打印功能(仅MGS-XPXX系列有此功能)。
2.1 有4个报警节点信号输出,可区分谐振、接地、过压、断线。
3 技术规范
3.1 工作电源:交流/直流220V(-20% ~ +10%);注:A型的工作电源:直流110V(-20% ~ +10%);功耗≤10W。
3.2 环境温度:-10℃ ~ +55℃。
3.3 相对湿度:小于90%。
3.4 谐振频率适用:
1/3分频 1/2分频 工频 3倍频
3.5 报警继电器触点容量: DC 30V/1A;AC 250V/1A。
4 型号与版本
4.1 型号含义
![]() |
4.2 版本含义
![]() |
例如:MGS-1PT 工作电源为交直流220V,带打印机、通信
MGS-1PTA 工作电源为直流110V,带打印机、通信
5 型号与功能对照表
![]() |
6 与同类装置的主要区别
6.1 本装置抗干扰能力强,数据采集精度高。
6.2 本装置的中央处理器采用高性能16位单片微型计算机,运算速度快、控制能力强;可区分过电压、铁磁谐振、单相接地及PT高压侧断线、PT低压侧断线。
6.3 本装置可自动显示、记录各种故障时间及相关参数,为现场分析提供数据。
6.4 本装置可存储五重故障信息,并可追忆,进行显示。
6.5 本装置采用插件式结构,维护简单方便。
6.6 本装置采用大屏幕汉字液晶显示,装置掉电后存储信息不丢失。
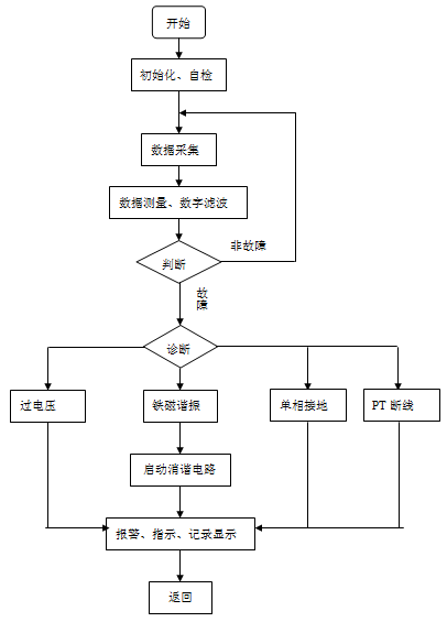
7 装置原理
本装置的中央处理器采用高性能16位单片微型计算机,对PT开口三角绕组电压(即:零序电压)和系统三相电压进行循环检测。在正常工况下,PT开口三角绕组电压为零,装置内的大功率消谐元件处于阻断状态,对系统无任何影响。
当系统处于故障工况时,本装置对电压互感器开口三角电压和系统三相电压采集的数据经分析计算,诊断当前工况。如果是某种频率的铁磁谐振,则开启消谐电路,使铁磁谐振在强大阻尼下迅速消失,同时给出指示。铁磁谐振消除后,装置作相应记录、存储,并自动显示时间及相关参数(幅值及频率);如果是过电压或单相接地或PT断线,装置分别给出指示和报警,可自动记录故障信息。
8 装置软件构成
本装置软件主要由采样程序、数据处理程序、故障处理程序、显示程序等组成。如图5-1所示。
9 装置硬件构成
本装置硬件由以下部件构成:
9.1 输出板
采用模块电源,输出DC+5V、DC+24V;放置大功率消谐元件、综合报警继电器;四路PT及信号调理电路。
9.2 主板
高性能16位微机芯片:运算速度快、控制能力强、运行可靠,硬件看门狗防止死机现象发生。
9.3 显示板
采用122×32液晶和LED显示和指示各种信息。
![]() |
图5-1 程序框图
10 装置使用说明
10.1 按键
装置前面板采用塑膜贴面,轻触式按键。五个按键功能定义如下:
“上移”键: 菜单选择时,上移光标;修改时间时,数值加1;
“下移”键: 菜单选择时,下移光标;
“退出”键: 退出功能;
“确认”键: 选择确认;
“复归”键: 手动复归报警信号(LED和信号继电器)。
10.2 指示灯
指示灯用于指示装置运行状态和故障信息。五个信号指示灯定义如下:
“运行”灯:装置运行时,“运行”灯闪绿光;
“谐振”灯:发生谐振时,“谐振”灯发红平光;
“接地”灯:单相接地时,“接地”灯发红平光,直到信号被复归;
“过压”灯:发生过电压时,“过压”灯发红平光,直到信号被复归;
“断线”灯:PT断线(高压侧和低压侧)时,“断线”灯发红平光,直到信号被复归;
10.3 操作说明
10.3.1 开机时液晶显示内容
开机上电时,液晶上显示装置开始画面,并点亮液晶背景光(见图10-1)。图中显示依次为装置型号、名称。
![]() |
图10-1
10.3.2运行主菜单界面
开机上电后,不按任何键系统自动进入运行方式,液晶画面(如图10-2)。在任意界面下,如果不按键,5分钟左右装置自动熄屏。熄屏情况下,按任意键,系统点亮背光。
![]() |
图10-2
注: 10-2画面中 1阴影处为光标所在位置,用“上移”、“下移”键可改变光标位置,选择不同功能的五个一级菜单。
下面分别介绍运行主菜单各子菜单功能及操作方法:
“1.装置管理”
光标移至“装置管理”一级菜单后,按“确认”键进入该菜单下的二级菜单后,可以进行清除记录,修改时钟,报警配置,参数设置(见图10-3),通过“上移”、“下移”键选择相应子菜单功能,按“确认”键进入下一级菜单。此时若按“退出”键则返回至上一级菜单。各级菜单操作使用方法介绍如下:
![]() |
图10-3
1) 清除记录
选择清除记录子菜单后,按“确认”键,则清除事件记录,清除完毕后,自动返回到上一级菜单。
2) 修改时钟
选择时间修改子菜单后,进入该菜单画面(如图10-4)。用“下移” 键选择时钟不同的位,用“上移” 键对选定的位进行修改,按“确认”键确认修改并自动返回到上一级菜单。
![]() |
图10-4
3) 报警配置
可按“上移”、“下移”按键移动光标来选择欲修改的项,然后按“确认”键对选定的项进行修改,按“确认”键可以使报警投退状态在“投”和“退”间切换(如图10-5)。一个项修改完毕,按“上移”、“下移”键选择下一个要修改的项目。修改完毕,按“退出”键返回上一级菜单。
![]() |
图10-5
4) 参数设置
选择参数设置子菜单后,进入该菜单画面(如图10-6)。用“下移” 键选择参数不同的位,用“上移” 键对选定的位进行修改,按“确认”键确认修改并自动返回到上一级菜单。(注:波特率可在1200、2400、4800、9600选择,源站、目的站为十六进制显示)
![]() |
图10-6
5) 退出“装置管理”
修改完参数后,按“退出”键,液晶屏幕显示提示信息(如图10-7),然后返回到上一级菜单。
![]() |
图10-7
“2. 事件记录”
光标移至“事件记录”菜单后,按“确认”键进入该项子菜单(如图10-8),则可查阅历次故障报告。故障报告编号从1到5,1号为最旧一次报告,5号为最新一次报告。各次报告之间用“上移”、“下移”键切换;液晶屏第一行显示故障的序号、类型;第二行显示故障的发生时间和故障值(开口三角电压值)。查看结束时,按“退出”键返回上一级主菜单。
![]() |
图10-8
如果没有事件记录,则显示“暂无记录”(如图10-9)。
![]() |
图10-9
“3.系统时钟”
进入“系统时钟”菜单后,显示装置的系统时间,如图10-10所示。查看结束时,按“退出”键返回上一级菜单。
![]() |
图10-10
“4.版本信息”
进入“版本信息”子菜单后,显示装置的版本信息,如图10-11所示。按“退出”键返回上一级菜单。
![]() |
图10-11
10.3.3 报警信息显示
当系统发生故障时液晶显示当前故障信息、面板上的故障指示灯点亮、报警继电器触点闭合。发生故障后,按下“退出”键,液晶由故障菜单返回到主菜单;按下“复归”键后,复归故障指示灯和报警继电器;如果未按下“复归”键,故障指示灯和报警继电器在2分钟后自动复归。
10.4 整机实验方法
实验接线图如下(以工频电压实验为例) 。
![]() |
a) 单相接地指示及实验方法
给装置信号输入端“Uo、Un”输入工频30V — 120V之间电压(时间大于3秒钟),A、B、C三相任两相输入100V电压,正序相位差60度,另一相输入零,此时伴随灯泡闪烁一次,“接地”指示灯亮、报警,显示故障信息。当“Uo、Un” 端输入信号小于30V时,本装置不动作。
b) PT断线指示及实验方法
1. 高压侧断线:给装置信号输入端“Uo、Un”输入工频30V — 120V之间电压(时间大于3秒钟),A、B、C三相任两相输入57.7V电压,正序相位差120度,另一相输入零,此时伴随灯泡闪烁一次,“断线”指示灯亮、报警,显示PT高压侧断线故障信息。
2. 低压侧断线:给装置信号输入端“Uo、Un”输入工频启动值(装置出厂默认为30V)以下的电压,A、B、C三相只要有一相输入为零,“断线”指示灯亮、报警,显示PT低压侧断线故障信息。(由于以上情况,系统投运以前给装置上电,装置报告PT低压侧断线,系统投运,PT正常运行后报警即自行消失)
c) 铁磁谐振指示及实验方法
当输入信号端“Uo、Un”短时输入30V以上的电压(3秒钟之内),并迅速撤除电压,此时伴随灯泡闪烁一次,“谐振” 指示灯亮、报警,显示故障信息(即当系统发生谐振时,零序电压较高,经消谐,系统恢复正常,零序电压很快降下来)。
d) 过电压指示及实验方法
当输入信号端“Uo、Un”通入120V以上电压(时间大于3秒钟),此时伴随灯泡闪烁一次,“过压” 指示灯亮、报警,显示故障信息(即当系统发生过电压故障时,经过消谐后,过电压仍然存在,系统没有恢复正常,这时应尽快排除系统故障,以免造成损失)。
11 安装说明
11.1 外形尺寸和安装开孔尺寸
11.1.1 MGS-1和MGS-2 (外形:193×81×156mm;开孔:163×82mm)
![]() |
MGS-1和MGS-2外形 MGS-1和MGS-2外形安装开孔图
11.1.2 MGS-1P和MGS-2P(外形:310×184×195mm;开孔:267×180mm)
![]() |
MGS-1P和MGS-2P外形图 MGS-1P和MGS-2P安装开孔图
11.2 机箱后视端子位置图及各端子说明
![]() |
各端子说明如下:
X1:
1:电压公共端Un。
2:相电压Uc 输入端。
3:相电压Ub 输入端。
4:相电压Ua输入端。
5:开口三角Uo输入端(测量用)。
X2:
1:R485B
2:R485A
3:T232通讯发送端
4:GND
5:R232通讯接收端
X3:
1:断线报警继电器输出节点。
2:过压报警继电器输出节点。
3:接地报警继电器输出节点。
4:谐振报警继电器输出节点。
5:报警继电器输出公共节点。
6:开口三角Un 输入端(消谐用)。
7:开口三角Uo 输入端(消谐用)。
X4:
1:装置电源输入AC/DC(L/+)。
2:装置电源输入AC/DC (N/-)。
3:未用。
4:FGND屏蔽地。
12 故障诊断和出错处理
![]() |
遇到您不能自行解决的问题,请与我公司联系,以便得到及时妥善处理,不影响您正常使用。
13 注意事项
13.1 为确保装置的正常使用,请按照以上图示固定好机箱及接好外部接线后,重点检查装置用直流工作电源正负极性是否正确,各信号回路接线是否可靠无误。以上确认无误后再给装置上电,操作及使用方法请详细阅读前述装置使用说明。
13.2 本公司产品售出二年内出现质量问题负责免费维修,并对售出产品负责终身维修,超出二年期限装置维修酌情收取适量成本费。
13.3本产品的正常工作电源为交流/直流220V,如要求其它等级的电源,请在订货时声明。
13.4 包装好的产品在运输过程中的贮存温度为-25℃~+55℃,相对湿度不大于95%。
13.5 包装好的产品应贮存在-10℃~+40℃、相对湿度不大于80%、周围空气中不含有腐蚀性、火灾及爆炸性物质的室内。
13.6 本产品不需要现场调试,使用及操作等事项请详细阅读使用说明书。
13.7 新装置打开外包装后请仔细核对产品装箱清单,如发现实物与清单不符等事项,请及时与我公司联系,以免影响您使用。
13.8 说明书中的配置更改恕不另行通知,以随货说明书为准。





















